HERSONCARE Food Grade Sodium Hyaluronate is a premium-quality, high-purity hyaluronic acid specifically formulated for oral consumption and functional food applications. As specialists in advanced Vitamins and Minerals and bioactive ingredients, we provide this scientifically-backed compound that delivers exceptional benefits for skin health, joint function, and overall wellness.
This white to almost white powder or granule is an inherent component of the human body, naturally present in tissues and organs including the placenta, amniotic fluid, lens, articular cartilage, and dermis. Our Food Grade Sodium Hyaluronate offers superior bioavailability and effectiveness for internal health applications.
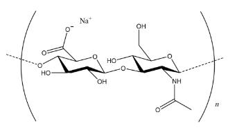
Chemical Structure

With molecular weight range of 0.8-1.2 MDa, our Sodium Hyaluronate is specifically optimized for oral bioavailability. This carefully selected molecular size ensures effective absorption and distribution throughout the body for maximum benefits.
Containing >95.0% Sodium Hyaluronate with minimal protein content (≤0.1%) and heavy metal limits, our product meets the highest standards for food-grade hyaluronic acid. This exceptional purity ensures consistent performance and safety.
Our Sodium Hyaluronate offers excellent water solubility and optimal bulk density (0.2-0.5 g/cm³) for easy formulation in various product types. This makes it ideal for both solid and liquid applications.
Extensive research supports the efficacy of oral hyaluronic acid for skin hydration, joint health, and overall wellness. Our product delivers proven benefits that meet consumer expectations for functional ingredients.
Compatible with various delivery systems and works synergistically with other premium ingredients including Natural Antioxidants, collagen, and Vitamins & Minerals for comprehensive health support formulations.
When consumed orally, Sodium Hyaluronate is absorbed through the gastrointestinal tract and distributed throughout the body, including the skin and joints. The 0.8-1.2 MDa molecular weight range is specifically selected for optimal bioavailability and tissue distribution.
Establish optimal dosage based on your product category. Typical daily intake ranges from 50mg to 200mg for general wellness, with higher doses (up to 200mg) for targeted joint or skin health benefits.
For liquid formulations, dissolve in water with gentle stirring. Our Sodium Hyaluronate exhibits excellent water solubility. For faster dissolution, use warm water (not exceeding 40°C) and allow adequate mixing time.
Combine with complementary ingredients like collagen, vitamin C, or other Natural Antioxidants for enhanced benefits. Consider combination with Oral Sodium Hyaluronate of different molecular weights for comprehensive coverage.
Ensure proper packaging to protect from moisture. In liquid formulations, consider pH optimization and potential use of preservatives to maintain stability throughout shelf life.
Food Grade Sodium Hyaluronate is extensively used in various supplement formats including tablets, capsules, and softgels. It works effectively in combination with other joint health ingredients and Vitamins and Minerals to create comprehensive wellness formulas.
Particularly valuable in joint health products due to its presence in synovial fluid and cartilage. When combined with ingredients like glucosamine and chondroitin, it creates comprehensive joint support formulas that help maintain mobility and comfort.
Used in specialized nutritional formulations for athletes, seniors, and individuals with specific health concerns. When combined with complementary ingredients like Food Grade Trehalose, it creates sophisticated delivery systems for enhanced stability and efficacy.
HERSONCARE's Food Grade Sodium Hyaluronate complies with the highest international quality and safety standards:
Our manufacturing facilities maintain cGMP standards with comprehensive quality control protocols ensuring batch-to-batch consistency, purity, and product safety.
Primary Packaging: 1kg aluminum bag with moisture barrier protection
Secondary Packaging: 10kg cardboard drum for secure transportation and storage
Custom Packaging: Available upon request to meet specific customer requirements
Storage Conditions: Store in cool, dry conditions away from direct sunlight. Keep container tightly sealed to prevent moisture absorption
Shelf Life: 2 years from production date when stored under recommended conditions in original, unopened packaging
A: Food Grade Sodium Hyaluronate meets stricter safety and purity standards for internal consumption, with specific limits for heavy metals, microbial contamination, and other impurities. It's specifically manufactured and tested for oral applications, whereas cosmetic grade is intended for topical use only.
A: Molecular weight significantly affects absorption and distribution. Our 0.8-1.2 MDa range is specifically selected for optimal bioavailability. Lower molecular weights may be absorbed more quickly but have shorter duration, while higher molecular weights may have reduced absorption but longer-lasting effects.
A: Clinical studies typically use 120-200mg daily for skin hydration and anti-aging benefits. However, the optimal dosage depends on the specific formulation and desired effects. We recommend starting with 100-120mg daily and adjusting based on product positioning and target consumer needs.
A: Most clinical studies show measurable improvements in skin hydration within 4-8 weeks of consistent use. Joint comfort benefits may be noticeable within 2-4 weeks. Consistent daily intake is important for optimal results.
A: Yes, it combines well with many functional ingredients. It works particularly well with collagen, vitamin C, and other Natural Antioxidants for enhanced skin benefits. For joint health, it complements glucosamine, chondroitin, and other joint support compounds effectively.
A: We provide comprehensive technical support including formulation guidance, compatibility testing, dosage recommendations, and regulatory assistance. Our expertise in functional ingredients and Vitamins and Minerals ensures optimal results in your final health and wellness products.
Ready to enhance your health and wellness formulations with premium Food Grade Sodium Hyaluronate? Contact HERSONCARE today for samples, technical specifications, and expert formulation support. Our team is ready to help you develop innovative products that deliver exceptional skin, joint, and overall wellness benefits to your customers.
If you are interested in the product, contact 2bvideo.com for more information for more information
The information of 2bvideo.com limited shown above is provided by the user or collected on the network. Video 2B does not guarantee the authenticity,accuracy and legitimacy of 2bvideo.com limited information. Video 2B does not involve legal relationships and disputes between users arising from transactions other than secured transactions on this website. Disputes shall be settled by you through negotiation. If you are the person in charge or relevant employee of this enterprise, if you find that the enterprise information is incorrect or want to manage thiscompany, please contact us jacklee1558@gmail.com, after you claim the enterprise, you can obtain management permission, publish supplyand demand information, bring consulting orders, and remove page advertisements.
Main Product:
Food Additives,
Cosmetic Raw Materials,
Vitamins and Minerals ,
Plant Extract,
Sodium Hyaluronate,
Phytic Acid